SOCIETÀ
Questo articolo ha più di due anni.

Indagine sulle Rsa: un business che fa perdere di vista l'assistenza

Uno dei focus principali su cui è necessario prestare attenzione, per quanto riguarda la pandemia, sono le più che citate Rsa. Le strutture residenziali per anziani infatti sono uno dei luoghi cardine per la recente storia della pandemia da Covid-19 in Italia. Grazie all’indagine sull’epidemia da coronavirus nelle case di riposo dell’Istituto superiore di sanità, sappiamo che dal primo febbraio ai primi giorni di maggio, nelle Rsa sono risultati 9.154 decessi. Un dato parziale, che non riguarda tutte le strutture italiane, che non riguarda nemmeno tutti i morti per o con Covid-19 ma che può essere un punto di partenza per analizzare più a fondo la situazione, anche attuale, delle residenze per anziani. 

L'indagine dell'Istituto Superiore di Sanità

Lo studio dell’Iss si è svolto attraverso un questionario composto da 29 domande ed inviato a 3.417 Rsa in tutta Italia. La risposta è arrivata da 1.356 strutture, cioè il 41,3% del totale contattato. Queste 1.356 Rsa avevano in tutto al loro interno 97.521 ospiti, cioè una media di 72 ospiti per struttura. I decessi riscontrati da quest’indagine quindi, dal 1 febbraio ai primi giorni di maggio sono stati 9.154, la maggior parte dei quali avvenuta in Lombardia, Piemonte e Veneto.

Analizzando le percentuali di decessi, vediamo che sempre la Lombardia è prima in questa triste classifica in cui il rapporto tra persone decedute e persone accolte ha superato il 14%. 

 

I dati visti fino ad ora, come abbiamo già detto, sono parziali e non tutti rappresentano persone morte da o con Covid-19. I primi mesi della pandemia infatti, sono stati i più complessi da monitorare. L’intero mondo si è trovato impreparato e per cercare di capire un po’ di più di ciò che è successo non possiamo che affidarci non a dati certi e totali ma ad analisi parziali. Dei 9.154 decessi avvenuti nelle Rsa che hanno risposto al questionario dell’Iss, 680 avevano avuto la conferma, tramite tampone, della positività, mentre altri 3.092 avevano sintomi simil-influenzali. Nei mesi presi in considerazione da quest’analisi ricordiamo come ci fosse una grande difficoltà diagnostica, dovuta anche e soprattutto alla bassa disponibilità dei tamponi, oltre che a delle errate (con il senno di poi) direttive. 

Se si considerano solamente le persone positive, un dato che abbiamo visto come sia piuttosto parziale, vediamo però che il tasso di mortalità tra i residenti nelle Rsa è stato dello 0,7 per cento, mentre se consideriamo anche chi aveva dei sintomi riconducibili al Covid-19 il tasso cresce al 3,1%. Sempre in Lombardia poi, ed in particolare nella provincia di Bergamo, si arriva ad un tasso di mortalità che supera il 16%.

Come vediamo dalla tabella qui sopra il campione analizzato deve farci prendere questi dati con le dovute precauzioni, ma può essere utile notare come in un ambiente delicato come quello delle residenze per anziani, la mortalità sia stata piuttosto elevata. Ad oggi infatti, la mortalità per Covid-19 in Italia è al 3,8%, indubbiamente più elevata rispetto ai paesi a noi più vicini (Spagna 2,8%, Francia 2,2%, Germania 1,6%) ma ben lontana da quella riscontrata in alcune Rsa lombarde ad inizio primavera.

Quante sono le Rsa in Italia?

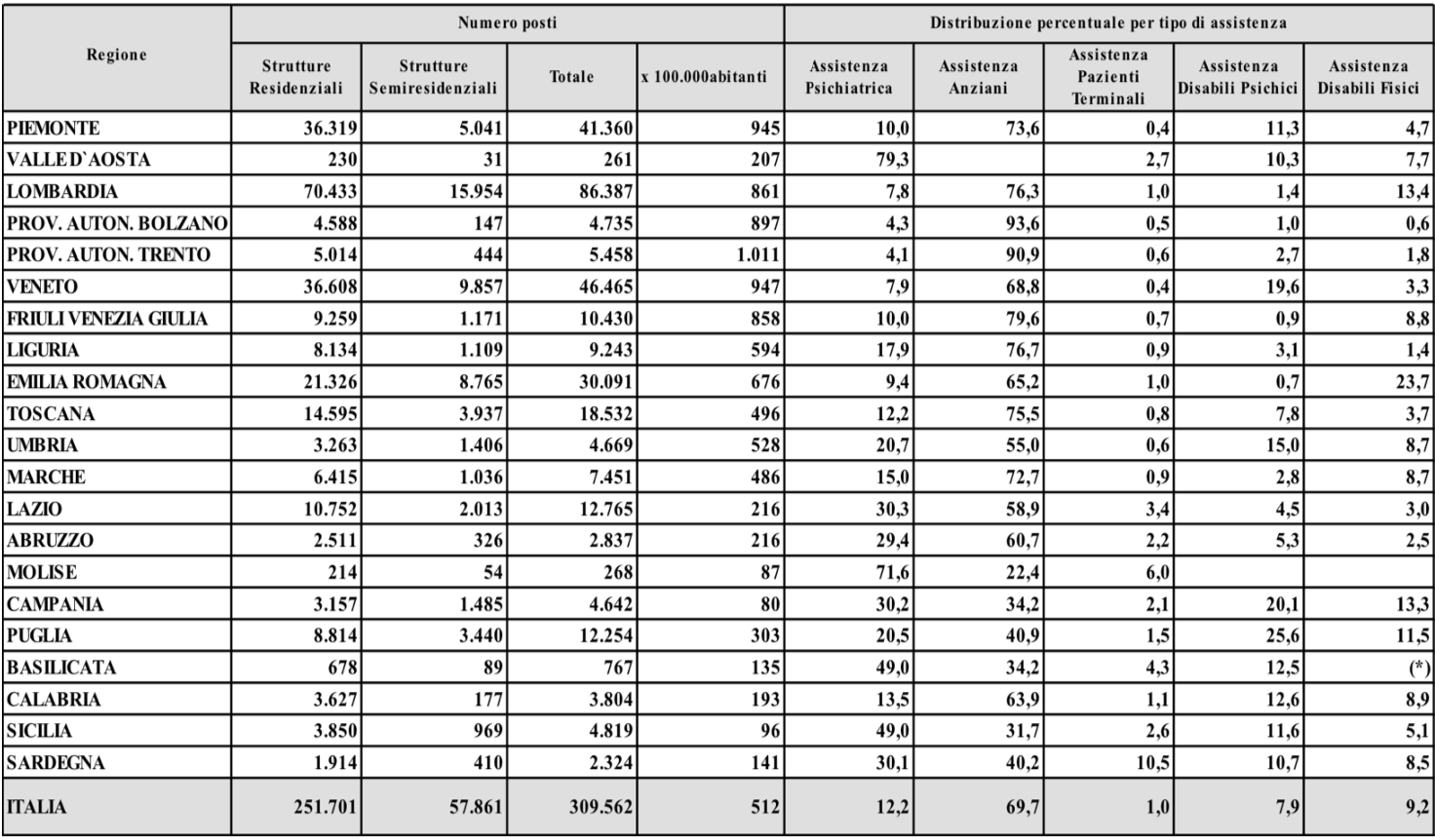
Ma se i dati che abbiamo visto fino ad ora sono parziali, quante sono le Rsa in Italia e quanti i loro ospiti? Le case di riposo in Italia sono 7.372, divise in strutture residenziali di assistenza per anziani (3.365), strutture residenziali di assistenza psichiatrica (2.035) ed altre strutture residenziali di assistenza per disabili fisici, psichici e per pazienti terminali.

L'Italia è il Paese più anziano d'Europa

In un quadro che ci vede essere il Paese più anziano d’Europa, dove i nuovi nati sono minori rispetto agli ottantenni e dove si vive più a lungo rispetto a Paesi limitrofi, la disponibilità di posti letto nelle case di riposo non sembra essere in linea con le necessità.

L’Italia infatti, che ha il 7% della sua popolazione sopra gli 80 anni (prima in Europa come vediamo dal grafico sottostante), ha a disposizione 18,6 posti letto ogni 1.000 anziani. La media europea dei posti letto è di 43,8. I dati provengono dall’Osservatorio settoriale delle Rsa della Liuc Business School che mette in luce come l’Italia disponga più posti letto solo di Grecia, Turchia, Polonia e Lettonia. Lo Stato che ha predisposto più posti letto per l’assistenza agli anziani è il Lussemburgo, con 82,8 posti ogni 1.000 abitanti.

Un quadro che dev’essere visto anche alla luce di ciò che ha dichiarato il rapporto OCSE del 2006, Live longer – Work longer, in cui si stima che in assenza di modifiche degli attuali schemi di lavoro e pensionamento, il rapporto anziani inattivi per lavoratore attivo è destinato a raddoppiare, passando dal 38% del 2000, al 70% entro il 2050. 

Questo significa che in Europa il rapporto potrebbe diventare 1:1, con inevitabili ripercussioni sul Pil pro capite che, sempre secondo il rapporto, nell’area OCSE si potrebbe ridurre dell’1,7% nei prossimi 30 anni.

Le Rsa: tra pubblico e privato

Le residenze per anziani, le Case protette, gli Hospice ed in generale strutture che svolgono attività di tipo residenziale però sono anche un grande business per il privato. Secondo il Ministero della Salute dal 2007 al 2017 sono cresciute in totale del 44%, passando in dieci anni da 5.105  a 7.372. La crescita ha visto in particolare la presenza di privati nella loro gestione. Mentre nel 2007 le residenze assistenziali private erano il 72,8% del totale, nel 2017 sono diventate 6.070, cioè l’82,3% del totale.

Nessun facile collegamento tra decessi e privato, ma ciò che è certo è che se grandi fondi di investimento puntano sulle Rsa (sia gestione che costruzione), significa che il mercato è florido.

Indubbiamente l’Italia, come abbiamo visto prima, necessita di posti letto in case di riposo, ma, una volta costruiti, la gestione dovrebbe essere semplice e lineare. Ora, invece, la gestione è diversa da regione a regione e, di fatto, delle 7.372 case di riposo solamente il 26,7% sono gestite dai Comuni (il 48% da privati no profit come cooperative o fondazioni religiose ed il restante 25% circa da società private profit).

Le Rsa private sono l’82,3%

I grandi gruppi privati

Tra le società private con una maggiore gestione di Rsa a livello nazionale troviamo il Gruppo Korian Segesta che, anche grazie all’acquisizione di 27 diverse società, gestisce 47 residenze per anziani per un totale di circa 4.800 posti letto praticamente in tutta Italia (ma con residenze anche in Francia, Germania, Spagna, Olanda e Belgio). L’intero Gruppo Korian ha un fatturato consolidato di poco meno di tre miliardi di euro.

Un altro gruppo di grande importanza per quanto riguarda la gestione Rsa in Italia è quello della holding Cir, al cui interno troviamo la famiglia De Benedetti con Rodolfo presidente esecutivo. Cir, oltre a controllare tra le altre cose il gruppo editoriale GEDI (fino al 2020), controlla al 59,5% il Gruppo Kos, presieduto da Carlo Michelini, che a sua volta gestisce 92 strutture in Italia e 48 in Germania, per un totale, nel nostro Paese, di circa 87mila posti letto. Le strutture sono dislocate in 13 diverse regioni e nel 2019 ha generato ricavi consolidati in aumento del 9,2% a 595,2 milioni.

Due esempi tra i tanti per far capire come le Rsa siano un business importante anche per grandi holding internazionali.

La riforma delle Rsa

La riforma delle Rsa, anche alla luce di tutto ciò che abbiamo visto fino ad ora, sembra necessaria. In merito l’8 settembre scorso il Ministro della salute Speranza ha incaricato una commissione di esperti, al fine di “formulare proposte per la riorganizzazione del modello assistenziale sanitario e sociosanitario dedicato alla popolazione anziana, al fine di favorire una transizione della residenzialità a servizi erogati sul territorio e di ridefinire il continuum assistenziale, suggerendo servizi, modalità, strumenti innovativi e digitali”.

Una commissione al cui interno ci sono figure varie, che vanno dal demografo prof. Giampiero Dalla Zuanna al presidente dell’Istituto superiore di sanità Brusaferro, dalla regista Maite Carpio alla poetessa Edith Bruck, passando da Gianni Rezza, Paolo Vineis e Andrea Urbani, il tutto presieduto da Monsignor Vincenzo Paglia, gran cancelliere del Pontificio Istituto Teologico per le Scienze del Matrimonio e della Famiglia.

Il Ministero della Salute inoltre sta anche portando avanti una serie di audizioni per avere uno sguardo completo sul tema delle Rsa. Il 3 novembre scorso l’Auser, cioè l’Associaizone per l’invecchiamento attivo, ha illustrato al Ministro una serie di azioni concrete volte a migliorare e riformare l’assistenza agli anziani in Italia, cercando di far interagire in maniera ottimale residenzialità e domiciliarità. Secondo l’associazione i problemi delle Rsa nel nostro Paese sono noti ed occorrerebbe innanzitutto “produrre una nuova offerta abitativa e di servizi di assistenza sociosanitaria domiciliare in grado di mettere le persone in condizione di cercare e trovare autonomamente risposte efficaci ai propri bisogni, riducendo le barriere che i più diffusi modelli abitativi e di organizzazione dei servizi oggi impongono ai soggetti fragili”. Questo consentirebbe di superare la drastica frattura tra servizi domiciliari e residenziali. Attualmente infatti le case di riposo sono viste come un luogo chiuso, che difficilmente può interagire con un’assistenza domiciliare ma, anzi, ne è l’altra faccia della stessa medaglia. 

Secondo l’associazione quindi, le Rsa dovrebbero essere viste più come delle case di transizione, dei luoghi dove trovare ristoro o assistenza ma che non debbano entrare in contrasto con l’assistenza anche nelle abitazioni degli anziani, dei luoghi quindi, “non di mera custodia degli anziani”.

La questione edilizia

C’è infine la questione edilizia. Secondo un’analisi di Spi Cgil, Fnp Cisl e Uilp Uil in tutto il Piemonte sarebbe emerso che strutture residenziali più piccole della media hanno saputo gestire meglio i momenti critici della crisi. E’ questo il tema dell’accoglienza diffusa, che sembra portare molti più risultati rispetto a grandi hotspot o centri di accoglienza, e non solo quando si parla di anziani.

Tutti interventi che però devono far conto con l’attuale condizione delle Rsa. Come abbiamo visto precedentemente l’assistenza sanitaria è di fatto anche un grande business per grandi gruppi privati. Precedentemente abbiamo analizzato due grandi gruppi che gestiscono delle case di risposo in Italia ed in Europa, ma la costruzione edilizia e la proprietà immobiliare delle Rsa è un altro argomento che non può non essere preso in considerazione. Richiedere, come suggerirebbe l’associazione Auser, più strutture con meno posti rispetto a grandi hub, significa inevitabilmente ridurre anche la possibilità di investimento nella costruzione di grandi strutture.

Un esempio di quanto i privati investano anche nella costruzione edilizia delle Rsa ci viene da Numeria sgr. La società con sede in via Monte Grappa a Treviso, presieduta da Vincenzo Pellegrini e nel cui CdA troviamo anche l’avvocato Bruno Barel, socio di maggioranza della società, ha tra i nove fondi comuni di investimento con un patrimonio di circa 523 milioni di euro, il fondo “Salute 2” dedicato per l’appunto all’investimento in strutture assistenziali per anziani. Tramite questo fondo, che al 31 dicembre 2019 aveva un capitale sociale di circa 50 milioni di euro, la società ha investito nello sviluppo e nella realizzazione di oltre quaranta strutture nel Nord/Centro Italia. Queste strutture sarebbero state vendute a diversi investitori, perlopiù francesi, per un valore, al 31 dicembre 2019, di oltre 300 milioni di euro. 

Gli investimenti in Rsa quindi, alla luce di tutto quello che abbiamo visto fino ad ora, sono auspicati e necessari. Una nuova visione però di queste strutture sembra sia l’obiettivo che si sta dando anche l’attuale ministero, per rendere l’assistenza agli anziani più equa, più umana e al riparo da eventuali male gestioni.

Un ultimo dato, che emerge da un’inchiesta del Corriere della Sera, sembra essere interessante: “delle oltre 1.500 irregolarità riscontrate nel 2019 per abbandono di persone incapaci, maltrattamenti, omicidi colposi, esercizio abusivo della professione, troppi ospiti in una stanza, scarsa pulizia, pasti o alimenti in cattivo stato di conservazione, oltre il 75% riguardano proprio le case famiglia e i privati convenzionati”.

© 2025 Università di Padova
Tutti i diritti riservati P.I. 00742430283 C.F. 80006480281
Registrazione presso il Tribunale di Padova n. 2097/2012 del 18 giugno 2012