L’agricoltura biologica e l’agro-ecologia, un’opzione per mitigare i cambiamenti climatici
di Lorenzo Ciccarese, Roberto Daffinà, Giulia Detti, Valerio Silli.
Negli anni '60 un'ondata di progressi delle scienze agricole e d’innovazioni tecnologiche ha spianato la strada alla cosiddetta "rivoluzione verde", ossia un sistema integrato costituito dall’uso massivo di pesticidi, fertilizzanti chimici e varietà di colture geneticamente uniformi e ad alto rendimento, promosse vigorosamente in tutto il mondo da governi, imprese e fondazioni (Evenson e Gollin 2003, Smil 2004). A completare la metamorfosi dei sistemi agricoli sono intervenute, da un paio di decenni a oggi, le nuove tecniche d’incrocio per ottenere varietà sempre più “performanti” e ad alta resa (new breeding techniques, NBT).
È indubbio che la rivoluzione verde e le NBT abbiano permesso all’agricoltura e alla zootecnica, in Italia come nel resto dei Paesi sviluppati, un avanzamento della produttività,con un incremento dellaproduzione alimentare mondiale tale dasuperare la crescita della popolazione umana (pressoché raddoppiata nello stesso periodo).
È altrettanto evidente, tuttavia, come la trasformazione dell’agricoltura sia avvenuta a scapito delle forme sostenibili di coltivazione e a prezzo di profondi impatti sull’ambiente. I sistemi agricoli, specialmente con la diffusione delle monoculture ad alto grado d’intensificazione e specializzazione, industrializzate e su larga scala, sono considerati tra i responsabili dell’inquinamento delle acque, del suolo e dell’aria, dell’erosione e acidificazione del suolo, dell’aumento dell’effetto serra, della perdita di habitat e dell’alterazione e semplificazione dei paesaggi tradizionali (Rockströmet al., 2009; FAO, 2013; Steffen et al., 2015; UN Environment, 2019). A tutto ciò occorre aggiungere gli effetti negativi complessivi sulla diversità biologica, a ogni livello a cui essa si definisce (Evenson e Gollin, 2003; McIntyre et al., 2009; Canfield et al., 2010; Pingali, 2012; Smith et al., 2013; Muller et al., 2017; IPBES, 2019).
In questo processo l’agricoltura, in Italia come nel resto del mondo dei Paesi sviluppati e industrializzati, è stata prevalentemente considerata sotto il mero aspetto di produzione di alimenti e fibre (disinteressandosi dei beni e dei servizi ‘intangibili’ e ‘senza prezzo’) e la scienza economica si è a lungo concentrata sui temi dell'intensificazione e della promozione della sua efficienza economica.
Inoltre, il generale processo di modernizzazione della società,che ha attraversato il Paese dagli anni ‘50 in poi, è stato il principale fattore che ha portato, da un lato, al rapido esodo delle aree rurali e al progressivo declino del settore agricolo; dall’altro a cambiamenti strutturali interni alle aziende agricole(Fanfani e Spinelli, 2012). Dagli anni ’60 ad oggi i censimenti decennali effettuati dall’ISTAT hanno registrato una significativa tendenza verso la riduzione sia del numero delle aziende agricole sia della Superficie Agricola Utilizzata (SAU) (Fanfani e Spinelli, 2012). Dall’elaborazione dei dati ISTAT emerge che negli ultimi 60 anni la SAU è passata da 20,7 milioni di ettari a 12,6 milioni di ettari, con un calo del 39%. Negli ultimi 20 anni la SAU è diminuita del 18%. In Figura 1 e 2 sono presentati rispettivamente l’evoluzione della SAU e l’andamento negli ultimi 90 anni delle principali produzioni agricole.
Figura 1. Evoluzione della Superficie Agricola Utilizzata (SAU) (dal 1922 al 2017). Fonte: ISTAT.
Figura 2. Evoluzione della produzione dei principali prodotti agricoli (dal 1922 al 2017). Fonte: ISTAT
Il successo dell’agricoltura biologica e il suo potenziale di sequestro di carbonio
Da qualche decennio a questa parte si registra un aumento dei sistemi di produzione di alimenti e fibre alternativi a quelle mono-colturali e industriali che, a differenza di queste ultimi, sono orientati verso la produzione di qualità e la sostenibilità ambientale e sociale. Si tratta di sistemi anche molto diversificati tra loro, che Kremen et al. (2012) raggruppano nell’espressione diversified farming systems, o DFS, ossia “sistemi agricoli diversificati”. I DFS includono tutte quelle "pratiche agricole […] che intenzionalmente considerano la biodiversità funzionale a scale spaziali e/o temporali multiple, al fine di mantenere i servizi ecosistemici che forniscono input cruciali all'agricoltura, quali la fertilità del suolo, il controllo dei parassiti e delle malattie, l'efficienza nell'uso dell'acqua e l’impollinazione”.
Un elemento comune dei DFS è l’integrazione di tre obiettivi principali: la sostenibilità economica e la redditività, il rispetto dell’ambiente e l’accettabilità sociale. Fra i sistemi DFS rientra a pieno titolo l’agricoltura biologica (o organica, per usare l’epiteto adottato in Inghilterra, dove il biologico ha mosso i primi passi) ed eco-sostenibile.
Più propriamente, l’agricoltura biologica è un sistema di produzione di alimenti e fibre che evita o in gran parte esclude l'uso di fertilizzanti e pesticidi di sintesi, i regolatori della crescita e gli additivi sintetici per mangimi (oltre che gli organismi geneticamente modificati). Nella misura del possibile, i sistemi di agricoltura biologica si basano sull'adozione delle rotazioni colturali, del sovescio di leguminose e altre specie, del controllo biologico dei parassiti e dei patogeni, e in generale di altre pratiche agronomiche sostenibili per mantenere la produttività del suolo, per fornire nutrienti vegetali e controllare insetti, erbe infestanti e altri parassiti. Inoltre l'agricoltura biologica prevede la pratica di lasciare residui colturali a fine raccolto per migliorare i caratteri chimico-fisici del suolo, l’utilizzo di concimi di origine animale e 'verdi', di scarti organici extra-aziendali e di rocce minerali da lavorazione meccanica. È evidente dunque il ruolo positivo che l’agricoltura biologica (come altri “sistemi agricoli diversificati”) può avere nello sviluppo di processi di riduzione dell’inquinamento, di degrado ambientale, tutela della biodiversità e conservazione del suolo (Mäder et al., 2002; Gattinger el al., 2012; Tsiafouli et al., 2014), nonché del ripristino della capacità di fornire servizi ecosistemici alla collettività (Robertson et al., 2014), da quello turistico-ricreativo e storico-culturale a quello di regolazione del clima locale e di mitigazione dei cambiamenti climatici globali. Inoltre, l’agricoltura biologica, nel rispetto dei suoi principi originari, comprende non solo pratiche di gestione rispettose dell'ambiente, ma anche di equità sociale e responsabilità economica.
Dal 1990 a oggi, per effetto delle politiche d’integrazione delle preoccupazioni ambientali nei processi di produzione agricola, v’è stato un graduale aumento della superficie agricola ‘bio’ e del numero di operatori. La crescente domanda di prodotti biologici e la rapida crescita del settore hanno portato alla necessità di regolamentare la produzione biologica. Ciò ha condotto alla definizione di specifici standard, ad es. l’adozione della rotazione delle colture e della diversità delle specie coltivate, l’uso di fertilizzanti organici e il controllo biologico dei parassiti e dei patogeni.
L'agricoltura biologica oggi è quindi strettamente legata a un processo di certificazione, etichettatura e a una serie di metodi di gestione prescritti che sono regolati dalle norme internazionali e dalle leggi nazionali. In Europa la produzione biologica è disciplinata dal Regolamento CE n. 834/2007 e dal successivo regolamento d’esecuzione CE n. 889/2008. Questi contengono una serie di disposizioni comuni riguardo ai metodi di produzione, all’etichettatura dei prodotti, al sistema dei controlli, ai provvedimenti finanziari di sostegno all’agricoltura biologica e integrata, alle misure adottate per la tutela dell’ambiente agricolo e per la biodiversità. In particolare, il Regolamento n. 834/2007 CE prevede l’obbligatorietà d’uso del marchio biologico. Un codice numerico è associato al logo, indicante la nazione, il tipo di metodo di produzione, il codice dell’operatore e il codice dell’organismo di controllo.
I dati resi disponibili dal FiBL-IFOAM (Willer e Lernoud, ed., 2019) attestano che nel 2017, a scala mondiale, l’agricoltura biologica ha raggiunto quasi 70 milioni di ettari (incluse le superfici in conversione), con un aumento pari a 11,1 milioni di ettari, il 20% in più rispetto all’anno precedente. La percentuale di aree biologiche ha raggiunto circa l’1,4% del totale della SAU nel mondo (circa 4,8 miliardi di ettari). In Europa la superficie biologica ammonta a 14,6 milioni di ettari (21%). In Italia le superfici biologiche sono 1.908.653 ettari, 112 mila ettari in più rispetto al 2016 (+6% rispetto anno precedente). In Italia il biologico rappresenta il 15,2% della superficie agricola utilizzata.
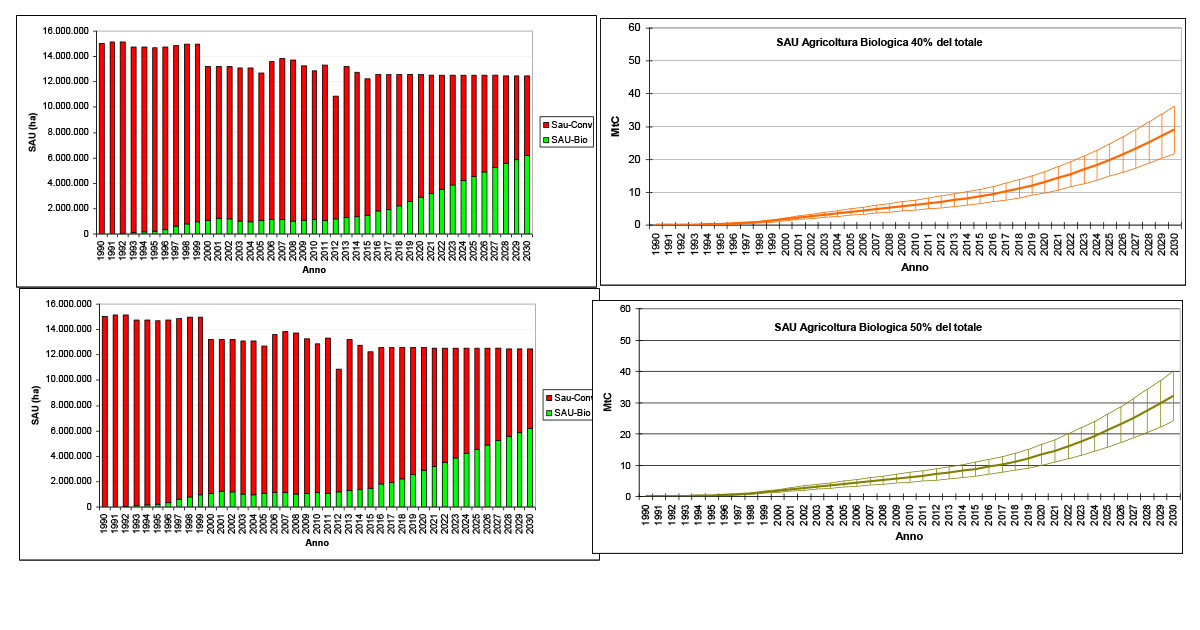
In Figura 3 sono riportati i valori della SAU, sia biologica sia convenzionale, dal 1990 al 2017. La stessa Figura 3 riporta l’andamento previsionale, dal 2018 al 2030, della SAU convenzionale e biologica, nelle ipotesi in cui: (i) la SAU totale nazionale declini secondo uno scenario business as usual, come proseguimento d’una tendenza che dura da diversi decenni, da 12.589.301 ha del 2017 fino a 12.474.121 nel 2030; (ii) la SAU biologica arrivi a coprire il 40%, il 50%, il 65% o il 90% della SAU totale entro il 2030.
Le esternalità ambientali e sociali legate ai sistemi convenzionali monoculturali e agro-industriali creano un enorme costo economico a causa dei conseguenti impatti ambientali e hanno portato scienziati e decisori politici a concentrarsi sull’aumento dell'efficienza dell'agricoltura e sull’inclusione degli effetti delle esternalità positive tra i benefici dell'agricoltura. Vi è una crescente consapevolezza che le sfide legate alla produzione di cibo, legna e fibre, in quantità sufficienti a soddisfare le esigenze delle società, preservando il suolo, l'acqua e la biodiversità, non possano essere risolte facendo affidamento sui sistemi produttivi agricoli dominanti e convenzionali (McIntyre et al., 2009).
La performance positiva dell'agricoltura biologica valutata rispetto a una serie di indicatori ambientali è stata ampiamente riportata in letteratura, sia a scala internazionale (Mäder et al., 2002; Schader et al., 2012; Robertson et al., 2014; Tsiafouli et al., 2014; Meier et al., 2015; Reganold e Wachter, 2016), sia nazionale (Ciccarese e Silli, 2016).
Ciò significa che la conversione ad agricoltura biologica può diventare una strategia per ridurre sensibilmente il contributo del settore agricolo alla perdita dell’integrità biologica, all'alterazione del ciclo dell'azoto o all’effetto serra.
Un beneficio spesso trascurato, che viceversa è alla base della stessa agricoltura biologica, è la capacità di sequestro del carbonio (FAO, 2015;Gattinger el al., 2012; Smith, 2004; Smith, 2008).
Le pratiche dell’agricoltura biologica che portano a una riduzione delle emissioni e al sequestro di carbonio consistono in:
- una migliore gestione delle colture agrarie attraverso pratiche agronomiche sostenibili quali rotazione colturale, inerbimento, sovescio;
- una gestione più accurata dei fertilizzanti e delle lavorazioni al suolo, dell’acqua d’irrigazione, delle risaie, dei sistemi agro-forestali, delle trasformazioni di uso del suolo;
- la gestione e il miglioramento dei prati e dei pascoli (intervenendo sull’intensità del pascolo, sulla produttività, sui nutrienti, sulla bruciatura dei residui e sul controllo degli incendi in genere);
- il recupero delle aree degradate;
- la gestione zootecnica del bestiame (miglioramento delle pratiche di nutrizione, uso di agenti specifici e additivi nella dieta, gestione del letame) (Ciccarese e Silli, 2016).
Queste pratiche sono fondamentali per l’agricoltura biologica perché essa si basa in gran parte su cicli chiusi di nutrienti, che prevedono la restituzione dei residui vegetali e dei sottoprodotti degli allevamenti zootecnici alla terra e/o l’inserimento di piante perenni nel sistema produttivo.
Lo studio di Gattinger et al. (2012), una meta-analisi di dati pubblicati in letteratura, poi confermato da ricerche successive, ha evidenziato che esistono differenze significative nei terreni coltivati biologicamente rispetto a quelli convenzionali per tre parametri: concentrazione di sostanza organica, stockdi carbonio e tasso di sequestro di carbonio. In particolare, le prestazioni del biologico sono risultate pari a:
- 0,2% di sostanza organica nel suolo in più rispetto a un terreno coltivato in maniera convenzionale (il contenuto medio di sostanza organica nei suoli italiani è meno del 2%, quindi si tratta di un aumento sensibile). Studi italiani a scala locale hanno indicato un aumento anche molto più significativo;
- 3,50 tonnellate di carbonio per ettaro per gli stock di C (la quantità accumulata nel terreno);
- 0,45 tonnellate di carbonio per ettaro l’anno per il tasso di sequestro di C.
Risultati analoghi sono stati trovati in un’altra prova sul campo negli Stati Uniti effettuata in un periodo di 8 anni. Infine, uno studio di Niggli et al. (2009) ha stimato che il potenziale globale di sequestro delle superfici biologiche è pari a 0,9-2,4 miliardi di tonnellate di CO2 l’anno, che equivale a un potenziale di sequestro medio compreso tra 0,20 e 0,45 tonnellate di carbonio per ettaro l’anno nelle terre coltivate col metodo “bio”.
Sulla base di questi risultati, possiamo stimare che, nel 2017, i 1.908.653 ettari d’agricoltura biologica in Italia abbiano sequestrato tra 573 mila tonnellate e 950 mila tonnellate di carbonio. Espressa in CO2 questa quantità è pari a un valore compreso tra 2 e 3,5 milioni di tonnellate, corrispondenti a circa lo 0,6% del totale nazionale delle emissioni (428 milioni di tonnellate di anidride carbonica).
Oltre a catturare carbonio del suolo, l’agricoltura biologica favorisce l’agro-silvicoltura e l’integrazione di elementi paesaggistici, quali filari e siepi, portando a un ulteriore sequestro del carbonio nella biomassa vegetale. Inoltre, la combustione di biomassa residuale, un importante contributo alle emissioni, nell’agricoltura biologica è limitata.
Ipotizzando una capacità di sequestro di carbonio compresa tra 0,30 e 0,45 tonnellate di carbonio per ettaro l’anno, al 2030 si avrebbero:
- Da 22 a 36 milioni di tonnellate di carbonio nel caso in cui l’agricoltura biologica raggiunga il 40% della SAU totale
- Da 24 a 40 milioni di tonnellate di carbonio nel caso in cui l’agricoltura biologica raggiunga il 50% della SAU totale
- Da 28 a 46 milioni di tonnellate di carbonio nel caso in cui l’agricoltura biologica raggiunga il 65% della SAU totale
- Da 34 a 56 milioni di tonnellate di carbonio nel caso in cui l’agricoltura biologica raggiunga il 90% della SAU totale
Figura 3: Andamenti della SAU convenzionale e SAU biologica, dal 1990 al 2017 (dati ufficiali) e dal 2018 al 2030 (scenari)
Considerazioni finali
L’Agenda 2030 per lo sviluppo sostenibile ha identificato una serie di 17 obiettivi (Sustainable Development Goals, o SDG). L’agricoltura biologica e in generale tutti i sistemi agro-ecologici hanno un grande potenziale per contribuire a raggiungere gli SDG, sia a scala nazionale sia internazionale, in particolare gli obiettivi 2 (sicurezza alimentare) e 12 (produzione e consumo sostenibili). Per rendere significativa la performancedei “sistemi agricoli diversificati” e più tangibile ed efficace il loro contributo verso la transizione ecologica dell’agricoltura nazionale, è necessario una progressione più significativa rispetto a quella attuale della superficie biologica nazionale da qui al 2030.
Nella futura programmazione della Politica Agricola Comune si dovrebbe includere tra le priorità la transizione su larga scala di forme di agricoltura sostenibile. In particolare si dovrebbero promuovere le produzioni biologiche, che secondo la proposta in questo lavoro dovrebbero raggiungere il 40% di biologico sul totale della SAU nazionale entro il 2030; si dovrebbe intervenire per compensare i maggiori costi sostenuti dalle stesse, inclusi quelli di transizione al biologico (che sono stati stimati in circa 100 euro a ettaro in caso di prima introduzione e 34 euro a ettaro in caso di mantenimento) e per compensare i mancati redditi.
Inoltre, sarebbe necessario semplificare e snellire le procedure per essere inclusi nel sistema di sostegno previsto dalla Politica Agricola Comune, anche perché —come evidenziato da un rapporto della Rete Rurale Nazionale— emerge che il 90% delle aziende agricole affida a terzi il compito di presentare e gestire la domanda di adesione alle misure agro ambientali di sostegno.
Un ulteriore contributo dovrebbe provenire dalla comunità scientifica con l’obiettivo di risolvere il gaptra la produzione dei sistemi agricoli convenzionali e quelli biologici, in gergo yield gap. Infatti, come visto in precedenza, l’agricoltura biologica è in grado di produrre una serie di servizi ecosistemici (Robertson et al., 2014), di ridurre la perdita di sostanza organica nel suolo e di conservare la biodiversità (Mäder et al., 2002; Tsiafouli et al., 2014), tuttavia i raccolti sono generalmente inferiori rispetto ai sistemi convenzionali di produzione (De Ponti et al., 2012; Seufert et al., 2012; Ponisio et al., 2015).
Lo yield gapdei sistemi biologici può esser ridotto con una serie d’interventi, come quelli, per esempio, di metodi agro-ecologici per migliorare il controllo dei parassiti naturali e favorire la fertilità del suolo con le risorse prodotte all’interno delle aziende, migliorando il riciclo dei nutrienti. Il mantenimento di biotopi non coltivati tra i campi per migliorare l'integrità funzionale di un'azienda biologica e l'integrazione della produzione di energia rinnovabile, contribuendo quindi a ottimizzare l'efficienza complessiva di uso delle risorse.
Dal punto di vista dell'integrità funzionale, l'attenzione costante alla salute del suolo e alla biodiversità è cruciale per l'agricoltura biologica stessa, ma anche per rafforzare il suo ruolo come modello di sviluppo sostenibile. Conservare e accrescere la fertilità del suolo basandosi in primo luogo sull'impiego di principi agro-ecologici in termini di diversificazione delle colture, concimazione, coltura e applicazione del letame organico è cruciale. La compattazione del suolo al di sotto dello strato arato dovuto all'uso di macchinari pesanti, dovrebbe essere considerata attentamente nell'agricoltura biologica. Per aumentare la capacità del settore di sequestro di carbonio si propongono alcune pratiche quali: l’incremento della fertilità del suolo; l'integrazione di colture perenni; la riduzione delle lavorazioni del suolo; la semina diretta in una coltura cover crop, poi sfalciata meccanicamente per mantenere la copertura del suolo; il miglioramento della gestione del bestiame, al fine di ridurre le emissioni di CH4e N2O, attraverso la modificazione delle pratiche alimentari e l’aumento dell’auto-sufficienza nel foraggio.
Dal punto di vista della sufficienza delle risorse, l'agricoltura biologica dovrebbe migliorare in particolare l'efficienza energetica e dell'uso di sostanze nutritive e ridurre le emissioni di gas serra e sostanze nutritive nell'ambiente, accrescendo allo stesso tempo le rese per ettaro e per unità di bestiame. Con l'attuazione della direttiva quadro sulle acque nell'UE, molte aree agricole dovranno affrontare ulteriori restrizioni legate alle perdite di nutrienti nel suolo e anche le aziende agricole biologiche dovranno rivedere ulteriormente la gestione dei nutrienti per ridurre la lisciviazione e le perdite superficiali. Saranno quindi necessarie maggiori conoscenze per ottimizzare la gestione delle colture nelle rotazioni, migliorando così i raccolti e riducendo le perdite. Una delle maggiori sfide consisterà nel migliorare il ciclo dell’azoto attraverso un uso efficiente del letame, senza aumentare la lisciviazione dei nitrati e le emissioni di N2O (un potente gas di serra) durante i periodi di saturazione di acqua nel suolo.
Il carattere non esaustivo delle cognizioni raggiunte dalla ricerca impone l’esplorazione di ulteriori temi di indagine, rispetto ai quali rimangono aperti alcuni interrogativi che muovono ulteriormente la ricerca scientifica verso ambiti inesplorati e nuove frontiere. Occorre perfezionare le stime e affinare i risultati relativamente, ad esempio, alla scala territoriale o al tipo di coltura. Secondo l’approccio dinamico di modellazione (dynamic modelling approach) è indispensabile effettuare stime tali da render conto dei processi sottostanti che comportano mutamenti nel suolo. E’ rimasta la necessità di un sistema di inventario e monitoraggio spazialmente esplicito, a livello nazionale e regionale, che sia genericamente applicabile rispetto a un'ampia gamma di tipi di suolo, climi e usi del suolo. Ad esempio, il sistema di modellazione del Global Organic Facility Soil Organic Carbon (GEFSOC) è stato sviluppato in risposta a questa esigenza. Il sistema GEFSOC consente di stimare gli stock di SOC e quindi del carbonio e le modifiche nel tempo da apportare a condizioni ecologiche diverse, avvicinandoci a una comprensione del ruolo futuro dei suoli nel ciclo globale.
Da ultimo si ritiene apprezzabile l’azione sinergica delle differenti competenze, tra associazioni di categoria, enti di certificazione del biologico e comunità scientifica, in un’ottica multidisciplinare e multisettoriale, per approfondire la conoscenza della complessità dei fenomeni, dei processi e delle sfide in atto.